"obabel ... --gen2D" - Calculated 2D Coordinates

This section provides tutorial examples on how to use Open Babel command '--gen2D' option to calculate 2D coordinates of each atom in the given molecule.

"--gen2D" is an "obabel" command option that tells Open Babel to calculate 2D coordinates of each atom in the given molecule. There are 3 possible ways of using the "--gen2D" option.

1. "--gen2D" Implicitly Applied - If the output format like SVG that requires the molecule to be presented a 2D space, and the input data does not contain 2D coordinates, Open Babel will automatically apply the "--gen2D" option and calculate 2D coordinates of each atom in the molecule.

For example, the following "obabel" command converts a benzene molecule from SMILES format to SVG format without "--gen2D" option. 2D coordinates are calculated automatically.

herong$ obabel -:c1ccccc1 -O benzene.svg

2. "--gen2D" Explicitly Suggested - If the output format like SDF that is capable to record 2D coordinates but not required, and the input data does not contain 2D coordinates, Open Babel will not apply the "--gen2D" option and give a warning message.

For example, the following command converts a benzene molecule from SMILES format to SDF format without "--gen2D" option. 2D coordinates are not calculated.

herong$ obabel -:c1ccccc1 -O benzene-without-gen2D.sdf
==============================
*** Open Babel Warning  in WriteMolecule
  No 2D or 3D coordinates exist. Stereochemical information will be
  stored using an Open Babel extension. To generate 2D or 3D coordinates
  instead use --gen2D or --gen3D.
1 molecule converted

herong$ more benzene-without-gen2D.sdf

 OpenBabel10092109552D

  6  6  0  0  0  0  0  0  0  0999 V2000
    0.0000    0.0000    0.0000 C   0  0  0  0  0  0  0  0  0  0  0  0
    0.0000    0.0000    0.0000 C   0  0  0  0  0  0  0  0  0  0  0  0
    0.0000    0.0000    0.0000 C   0  0  0  0  0  0  0  0  0  0  0  0
    0.0000    0.0000    0.0000 C   0  0  0  0  0  0  0  0  0  0  0  0
    0.0000    0.0000    0.0000 C   0  0  0  0  0  0  0  0  0  0  0  0
    0.0000    0.0000    0.0000 C   0  0  0  0  0  0  0  0  0  0  0  0
  1  6  2  0  0  0  0
  1  2  1  0  0  0  0
  2  3  2  0  0  0  0
  3  4  1  0  0  0  0
  4  5  2  0  0  0  0
  5  6  1  0  0  0  0
M  END

herong$ obabel benzene-without-gen2D.sdf -O benzene.svg

Note that benzene-without-gen2D.sdf is still a valid molecule file. You can structure the benzene structure according to the list of atoms and bonds.

If you want to record 2D coordinates in the SDF output file, you can specify the suggested "--gen2D" option.

herong$ obabel -:c1ccccc1 -O benzene-with-gen2D.sdf --gen2D
1 molecule converted

herong$ more benzene-with-gen2D.sdf

 OpenBabel10092110102D

  6  6  0  0  0  0  0  0  0  0999 V2000
   -0.8660   -0.5000    0.0000 C   0  0  0  0  0  0  0  0  0  0  0  0
   -1.7321   -0.0000    0.0000 C   0  0  0  0  0  0  0  0  0  0  0  0
   -1.7321    1.0000    0.0000 C   0  0  0  0  0  0  0  0  0  0  0  0
   -0.8660    1.5000    0.0000 C   0  0  0  0  0  0  0  0  0  0  0  0
   -0.0000    1.0000    0.0000 C   0  0  0  0  0  0  0  0  0  0  0  0
    0.0000    0.0000    0.0000 C   0  0  0  0  0  0  0  0  0  0  0  0
  1  6  2  0  0  0  0
  1  2  1  0  0  0  0
  2  3  2  0  0  0  0
  3  4  1  0  0  0  0
  4  5  2  0  0  0  0
  5  6  1  0  0  0  0
M  END
$$$$

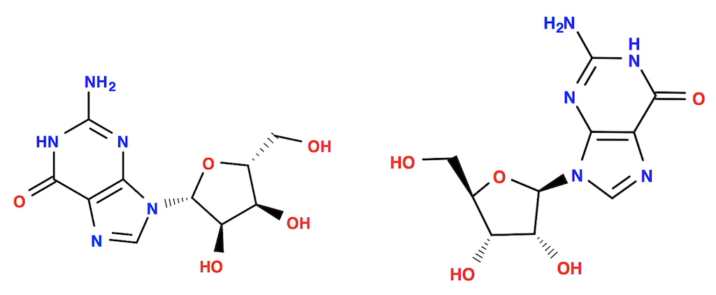
3. "--gen2D" Used to Recalculate - When input data already contains 2D coordinates, you can still specify the "--gen2D" option to recalculate them.

For example, the following command converts a guanosine molecule from SDF format to SVG format with "--gen2D" option. 2D coordinates are recalculated.

herong$ obabel guanosine-poor.sdf -O guanosine-with-gen2D.svg --gen2D
1 molecule converted

As a comparison, the following command converts the same SDF file to SVG format without "--gen2D" option. The original 2D coordinates are used.

herong$ obabel guanosine-poor.sdf -O guanosine-without-gen2D.svg
1 molecule converted

The following picture shows the molecule 2D structure with 2D coordinates recalculated by Open Babel on the left, and the 2D structure of the original 2D coordinates on the right.

Guanosine Molecule 2D Coordinates Recalculated by Open Babel
Guanosine Molecule 2D Coordinates Recalculated by Open Babel

As you can see that Open Babel 2D coordinates recalculation does improve the structure quality. But it also changes the orientation.

Table of Contents

 About This Book

 SMILES (Simplified Molecular-Input Line-Entry System)

 Open Babel: The Open Source Chemistry Toolbox

Using Open Babel Command: "obabel"

 What Is "obabel" Command

 "obabel -i ..." - Input Data Format and Source

 "obabel -o ... -O" - Output Data Format and Destination

 "obabel -... --..." - Generic Conversion Options

 "obabel" Command Option Argument Syntax

"obabel ... --gen2D" - Calculated 2D Coordinates

 "obabel ... -f # -l #" - Split Large Molecule File

 "obabel -h/-d" - Add/Remove Hydrogens in Molecule Data

 "obabel --append ..." - Calculate Molecule Properties

 "obabel -L formats" - List of File Formats Supported

 "obabel -a..." - Extra Options for Input Reading

 "obabel -x..." - Extra Options for Output Writing

 "obabel" vs. "babel" Open Babel Commands

 Generating SVG Pictures with Open Babel

 Substructure Search with Open Babel

 Similarity Search with Open Babel

 Fingerprint Index for Fastsearch with Open Babel

 Stereochemistry with Open Babel

 Command Line Tools Provided by Open Babel

 RDKit: Open-Source Cheminformatics Software

 rdkit.Chem.rdchem - The Core Module

 rdkit.Chem.rdmolfiles - Molecular File Module

 rdkit.Chem.rdDepictor - Compute 2D Coordinates

 rdkit.Chem.Draw - Handle Molecule Images

 Molecule Substructure Search with RDKit

 rdkit.Chem.rdmolops - Molecule Operations

 Daylight Fingerprint Generator in RDKit

 Morgan Fingerprint Generator in RDKit

 RDKit Performance on Substructure Search

 Introduction to Molecular Fingerprints

 OCSR (Optical Chemical Structure Recognition)

 AlphaFold - Protein Structure Prediction

 Resources and Tools

 Cheminformatics Related Terminologies

 References

 Full Version in PDF/EPUB